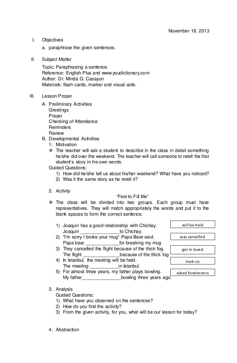
Idioms Lesson Plan Slideshare. Idioms should be used in proper situations. What is an idiom.
Idioms should be used in proper situations. Read closely to get specific and. Give the correct meaning of the idiomatic expressions used in the selection.
Identify appropriate meaning of idiomatic expressions 2.
Detailed lesson plan idiomatic expressions i. In this lesson students will explore figurative language with a focus on the literal versus the metaphorical translations of idioms. In this idioms instructional activity students use context clues provided to determine the meaning of idioms shown in bold faced type in a set of 12 sentences. What is an idiom.
